Depuis le 1er janvier 2021, l'Indemnité de Mobilité Géographique des Militaires (IMGM) a remplacé l'ancienne « prime rideau » pour accompagner les militaires et gendarmes lors de leurs mutations pour raison de service. Bien que versée de plein droit, de nombreux dossiers font l'objet d'un refus d'indemnité, notamment en cas de congé parental ou d'« étude couple ». Comment est calculé le montant de l'IMGM selon la composition du foyer ? Quels sont vos droits en cas de mobilité imposée ? Le cabinet Obsalis Avocat vous explique comment contester un refus devant la Commission des Recours des Militaires (CRM) et le Tribunal Administratif pour obtenir le versement de vos primes et indemnités.
L’indemnité de mobilité géographique des militaires (IMGM) est une indemnité accordée de plein droit aux militaires qui remplissent les conditions et qui subissent une mutation pour raison de service.
Elle remplacement l’ancienne « prime rideau » depuis le 1er janvier 2021.
Aux termes de l’article 1er du décret n°2020-1654 du 22 décembre 2020 relatif à l'indemnité de mobilité géographique des militaires, les militaires concernés par le versement de l’IMGM sont les suivants :
« A compter de leur première mutation dans un emploi suivant leur entrée au service, les militaires ont droit à une indemnité particulière lorsqu'ils subissent une sujétion de mobilité géographique imposée résultant de l'obligation de disponibilité prévue à l'article L. 4121-5 du code de la défense.
Au sens du présent décret, subissent une sujétion de mobilité géographique les militaires placés dans les situations suivantes :
1° Militaires mutés pour les besoins du service, dans une unité ou un organisme situé dans un autre arrondissement que celui de leur précédente affectation. (…)
2° Militaires placés en détachement de droit ou d'office ou réintégrés dans leur corps d'origine à l'expiration d'un tel détachement, dans les mêmes conditions géographiques qu'au 1°.
3° Militaires tenus d'occuper ou de libérer, sur ordre du commandement, un logement occupé par nécessité absolue de service. (…) »
Les articles 2 et 3 du décret susvisé n°2020-1654 du 22 décembre 2020 précisent les critères pris en compte dans le calcul de l’IMGM dont notamment le nombre de mobilités subies par le militaire concerné depuis son incorporation et le nombre de personnes composant son foyer :
Lorsque deux conjoints ou deux partenaires d'un pacte civil de solidarité subissent une sujétion de mobilité géographique rattachée au même plan annuel de mutation, les personnes composant le foyer fiscal autres que les deux militaires sont prises en compte pour moitié dans l'indemnité versée à chacun d'entre eux ».
Le taux de base de cette indemnité est fixé par arrêté conjoint du ministre de la défense ou du ministre de l'intérieur pour les militaires de la gendarmerie nationale et des ministres chargés du budget et de la fonction publique ».
S’agissant des modalités de calcul de l’indemnité de mobilité géographique des militaires (IMGM), aux termes de l’article 1 de l’arrêté du 22 décembre 2020 fixant le taux de base de l'indemnité de mobilité géographique des militaires applicable aux militaires relevant du ministre de la Défense :
« Le taux de base de l'indemnité de mobilité géographique des militaires prévu à l'article 3 du décret du 22 décembre 2020 susvisé et à l'article 1er de l'arrêté du 22 décembre 2020 susvisé est fixé à 1 300 euros ».
L’article 1er de l’arrêté du 22 décembre 2020 pris pour l’application du décret n°2020-1654 du 22 décembre 2020 relatif à l’indemnité de mobilité géographique des militaires précise ce qui suit :
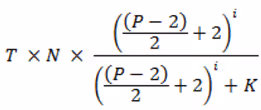
« I.- Le montant de l’indemnité de mobilité géographique des militaires est déterminé par application de la formule de calcul suivante :
T désigne le taux de base de l’indemnité de mobilité géographique des militaires.
N correspond au nombre de mobilités géographiques imposées au militaire depuis son entrée au service. (…)
P désigne le nombre de personnes composant le foyer fiscal du militaire à la date de prise d’effet de la mobilité géographique
i est toujours un chiffre entier. Il est égal à 2.
K est égal à 2.
II. - Lorsque deux conjoints ou deux partenaires d’un pacte civil de solidarité subissent une sujétion de mobilité géographique rattachée au même plan annuel de mutation, le montant de l’indemnité de mobilité géographique des militaires de chacun des deux militaires est déterminé par application de la formule de calcul suivante :

A ce jour, le taux de base précité est fixé à 1300 € pour les militaires relevant du ministre de la Défense (article 1er de l’arrêté du 22 décembre 2020 fixant le taux de base de l'indemnité de mobilité géographique des militaires applicable aux militaires relevant du ministre de la défense) et à 500 € ou 1300 € pour les militaires de la gendarmerie nationale selon leur situation (article 1er de l’arrêté du 22 décembre 2020 fixant le taux de base de l'indemnité de mobilité géographique des militaires applicable aux militaires de la gendarmerie nationale).
Ainsi, le montant de l’IMGM dépend du nombre de mobilités subies par le militaire concerné depuis son entrée en service, de la composition de son foyer fiscal, du taux de base fixé par arrêté et de son ministère d’appartenance.
. Aux termes de l’article L. 4121-5 du code de la défense :
« Les militaires peuvent être appelés à servir en tout temps et en tout lieu. / Dans toute la mesure compatible avec le bon fonctionnement du service, les mutations tiennent compte de la situation de famille des militaires, notamment lorsque, pour des raisons professionnelles, ils sont séparés : / 1° De leur conjoint (…) ».
D’autre part, aux termes de l’article L. 4138-11 du même code :
« La non-activité est la position temporaire du militaire qui se trouve dans l’une des situations suivantes : / 3° En congé parental (…) ».
Enfin, l’article L. 4138-14 du code de la défense dispose que :
« Le congé parental est la situation du militaire qui est admis à cesser temporairement de servir dans les armées pour élever son enfant. / Ce congé, non rémunéré, est accordé de droit sur simple demande du militaire après la naissance ou l’adoption d’un enfant, sans préjudice du congé de maternité ou du congé d’adoption qui peut intervenir au préalable (…) ».
. Dans une affaire remportée par le cabinet Obsalis Avocat, une militaire en congé parental s’était vu refuser le versement de l’IMGM par le ministre des Armées au motif, d’une part, qu’à la date de sa mutation elle était en position de non-activité, d’autre part, qu’elle avait fait l’objet d’une mutation prétendument choisie, et non subie, dans le cadre d’une « étude couple » après avoir rempli un FORMOB (formulaire de mobilité). S’agissant du congé parental, par son jugement du 30 octobre 2025 (TA Amiens, 30/10/2025, n°2203888), le tribunal administratif d’Amiens a donné satisfaction à la militaire défendue par le cabinet Obsalis Avocat en rappelant que le placement en congé parental de la requérante à la date de sa mutation, ne faisait pas obstacle à ce que l’IMGM lui soit versée à la date effective de sa reprise de fonctions :
« (…) 7. Par ailleurs, il ressort des dispositions du décret du 22 décembre 2020, que l’ensemble des militaires qui subissent une sujétion de mobilité géographique pour l’exercice effectif de leurs fonctions ont droit à bénéficier de l’IMGM, quels que soient leur situation de famille et leur grade. Dès lors, si Mme C… n’était pas fondée à prétendre au bénéfice de l’IMGM durant son congé parental, les dispositions du décret précité ne faisaient pas obstacle à ce que cette indemnité soit versée à compter de la date de sa reprise d’activité. Par suite, Mme C… qui a repris effectivement ses fonctions en mai 2022 pour l’exécution de son ordre de mutation pour raison de service, est fondée à solliciter le versement de l’IMGM à hauteur du montant correspondant à sa situation. (…) »
S’agissant de la question de la sujétion, là encore, le tribunal administratif d’Amiens a retenu l’argumentaire du cabinet Obsalis Avocat en rappelant que l’IMGM est due à tous les militaires qui subissent une mobilité pour raison de service, quand bien même leur situation de famille aurait été prise en compte.
Constatant que l’ordre de mutation individuel de la requérante portait bien la mention « mutation pour raison de service », le tribunal administratif d’Amiens a condamné l’Etat à verser à la requérante l’IMGM qui lui était due et a rappelé, par la même occasion, que la situation de famille des militaires devait d’ailleurs être prise en compte dès lors que cela est possible :
« 6. Il ressort des mentions mêmes de l’ordre de mutation individuel du 25 mai 2021 que, contrairement à ce que soutient le ministre, Mme C… a été mutée pour raison de service, comme son époux, dans le cadre du plan de mutation annuel au titre de 2021 et affectée à l’unité française de vérification de Creil à compter du 1er août 2021. Ni la circonstance que Mme C… a fait l’objet d’une « étude couple » ni celle qu’elle a rempli un formulaire de mobilité en y indiquant qu’elle souhaitait se rapprocher de son conjoint, affecté à Creil, après une année de célibat géographique, ne sont de nature à remettre en cause le fait qu’elle a effectivement subi une sujétion de mobilité géographique, alors par ailleurs que l’article L. 4121-5 du code de la défense précité prévoit, dans un tel cas, la prise en compte de la situation familiale des militaires lorsque cela est compatible avec les besoins du service. »
Outre le versement de l’IMGM due à la militaire concernée, le tribunal administratif d’Amiens, faisant droit à la demande du cabinet Obsalis Avocat, a également condamné l’Etat à lui verser des intérêts au taux légal à compter de la date d’enregistrement de son recours préalable, c’est-à-dire sur plus de trois années, et à lui rembourser une partie de ses frais d’avocat.
Les intérêts viendront donc compenser le retard pris par l’Etat dans le refus illégal de versement de l’IMGM à la militaire concernée.
En principe, l’IMGM n’a pas à être demandé et doit être automatiquement versée sur la solde du mois suivant la mutation.
S’agissant d’une militaire en congé parental, le tribunal administratif d’Amiens a jugé qu’en ce cas, l’IMGM devait être versée sur la solde du mois de reprise des fonctions.
En tout état de cause, quelle que soit la situation du militaire concerné, en cas de non-versement de l’IMGM, il devra en formuler expressément la demande par écrit, en l’adressant à son service gestionnaire.
En cas de refus, ou à défaut de réponse expresse dans un délai de deux mois, il devra envisager de saisir la commission des recours des militaires (CRM) d’un recours administratif préalable obligatoire (RAPO) avant de pouvoir envisager de saisir le tribunal administratif (article R. 4125-1 du code de la défense).
Ce recours devra être introduit dans un nouveau délai de deux mois à compter de la notification de la décision expresse ou de l’intervention de la décision implicite de rejet (article R. 4125-2 du code de la défense) :
« A compter de la notification ou de la publication de l'acte contesté, ou de l'intervention d'une décision implicite de rejet d'une demande, le militaire dispose d'un délai de deux mois pour saisir la commission par tout moyen conférant date certaine de réception de cette saisine au secrétariat permanent placé sous l'autorité du président de la commission. (…) »
Le ministre compétent disposera alors d’un délai de 4 mois pour statuer sur le recours. A défaut, il devra être regardé comme l’ayant implicitement rejeté (article R. 4125-10 du code de la défense) :
« Dans un délai de quatre mois à compter de sa saisine, la commission notifie à l'intéressé la décision du ministre compétent, ou le cas échéant, des ministres conjointement compétents. La décision prise sur son recours, qui est motivée en cas de rejet, se substitue à la décision initiale. Cette notification, effectuée par tout moyen conférant date certaine de réception, fait mention de la faculté d'exercer, dans le délai de recours contentieux, un recours contre cette décision devant la juridiction compétente à l'égard de l'acte initialement contesté devant la commission. »
Le militaire concerné disposera alors d’un nouveau délai de deux mois pour introduire une requête de plein contentieux devant le tribunal administratif compétent :
Notre cabinet d’avocat de militaires, Obsalis Avocat, vérifie les droits des militaires en matière d’indemnités, et les représente dans leurs recours auprès de la commission des recours des militaires (CRM) et des tribunaux administratifs.
Par Tiffen MARCEL, avocate en droit militaire, au Barreau de Paris
Maître Tiffen MARCEL, avocate de militaires et de gendarmes, a fondé le cabinet Obsalis Avocat pour répondre aux problématiques rencontrées spécifiquement par les militaires et les gendarmes de toute la France. Disposant d’une expertise reconnue dans la défense des militaires et des personnels de la gendarmerie nationale, Maître Tiffen MARCEL leur dédie son expérience dans tous les domaines du droit militaire : sanction disciplinaire, CLDM et imputabilité au service, indus de solde, jurisprudence Brugnot, procédure pénale, démission, résiliation de contrat, réclamations indemnitaires, etc.

Tiffen Marcel
Avocate associée fondatrice
Spécialiste en Droit public & Droit public militaire
Tiffen MARCEL a fondé Obsalis Avocat pour répondre aux problématiques des militaires, personnels de la gendarmerie nationale et fonctionnaires de police de toute la France. Seule spécialiste française en Droit public militaire officiellement reconnue par le Conseil national des Barreaux (CNB), elle dédie son expertise à la défense des militaires, gendarmes et policier dans tous ses pans administratifs : discipline, blessure et santé, indus de rémunération, démission/résiliation de contrat, réclamations indemnitaires.

Dépression & burnout peuvent ouvrir droit à une Pension Militaire d’Invalidité (PMI). Découvrez comment prouver le lien au service et les recours possibles

Avocat en droit militaire : sanctions, conseil d’enquête, PMI et indemnisation des militaires blessés

Un refus de PMI ou un taux insuffisant ? Obsalis Avocat vous aide à saisir la CRI : Expertise, audition & recours devant le tribunal administratif.

Sanctions disciplinaires illégales prononcées contre les militaires : obtenez l'indemnisation de vos préjudices sans passer par la CRM.

Tout savoir sur la procédure disciplinaire du conseil d'enquête pour les militaires et gendarmes sanctionnés.

La pension militaire d’invalidité ne répare pas tous les préjudices. Découvrez quels dommages corporels, moraux, esthétiques, sexuels ou d’agrément peuvent faire l’objet d’une indemnisation complémentaire.